EL10A - Circuit Analysis

LECTURE NOTES

unification theories, conservation principle
SI measurement - charges and current
introduction to voltage, energy and power
series and parallel resistors, Kirchhoff's Laws
voltage and current sources
capacitors and inductors in series and parallel
Nodal Analysis
Nodal Analysis Example
Mesh Analysis
Supernode Example
Superposition Example
Solving linear systems - Cramer's rule
Solving linear systems - Gaussian elimination
Solving linear systems - Dividing a vector by a matrix
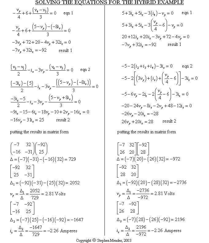
Comparison of Node and Mesh methods on hybrid circuit
Solving the equations for the hybrid circuit
Maximum Power Transfer theorem
Thevenin and Norton theorems
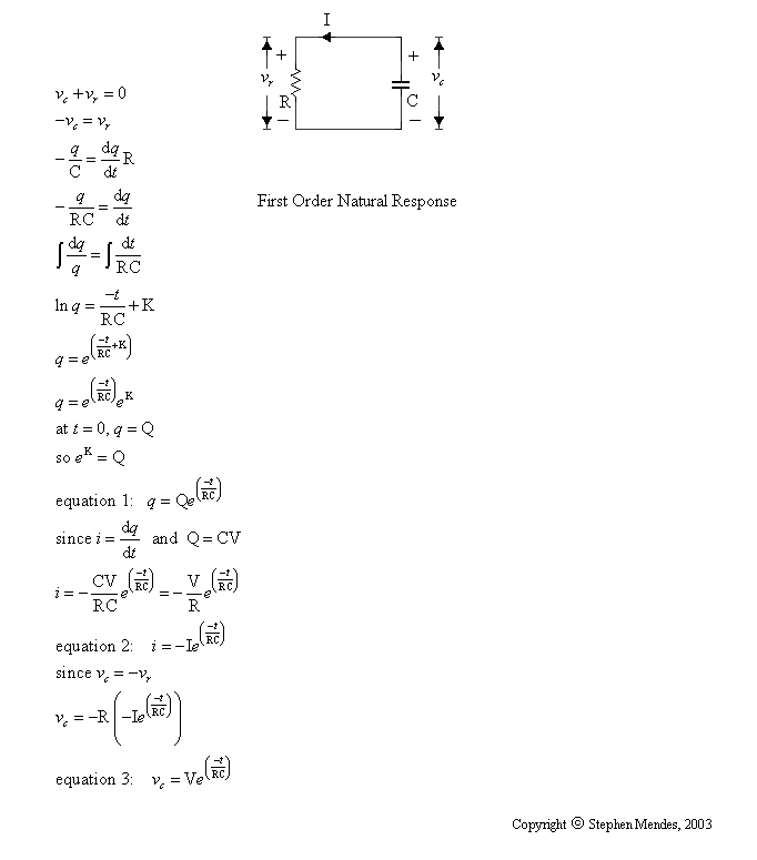
The natural response of a first order circuit - Capacitor
The natural response of a first order circuit - Inductor
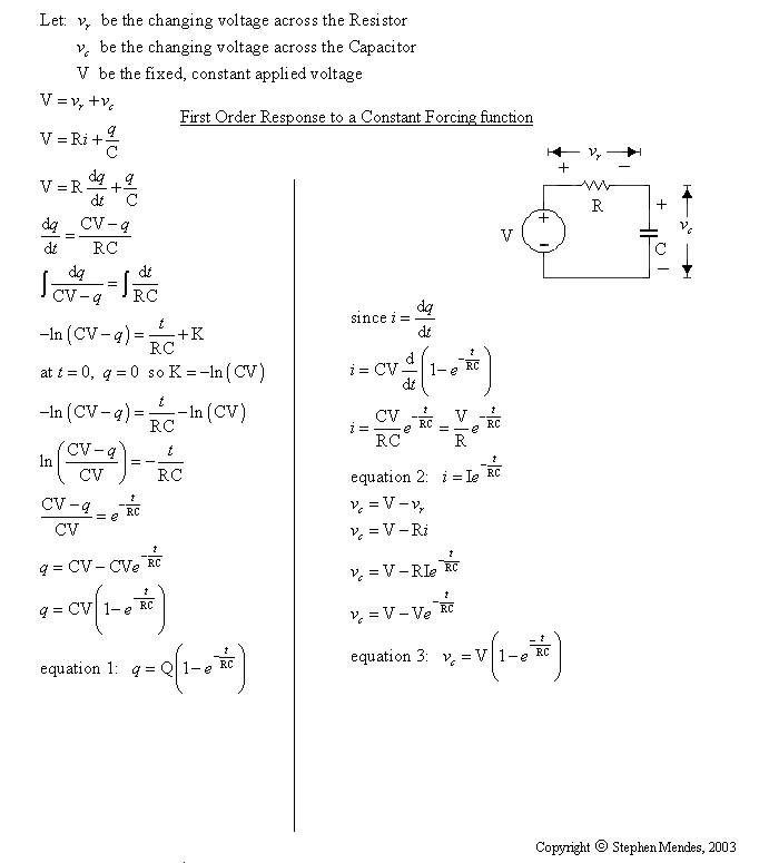
Response of a first order circuit to Constant Forcing Function - Capacitor
Response of a first order circuit to Constant Forcing Function - Inductor
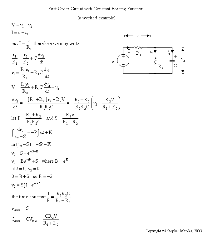
Example of solving in First Order Circuits
Example illustrating Transient and Steady-State response components
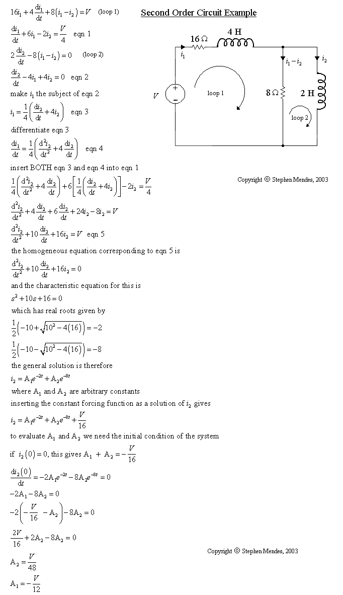
Example of solving in Second Order Circuits
The parallel RLC circuit
The series RLC circuit
A.C. circuit calculations using trigonometry
A.C. circuit calculations using complex numbers
the parallel tank circuit (added on 26 JULY, 2003)
Definitions

Contact Stephen Mendes directly at 230-4818 or 266-8027


EL10A Homepage

© copyright 2003 Stephen E. Mendes, Barbados.