ASSIGNMENT #2

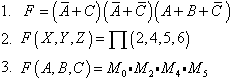
1. Find the simplified POS forms of these functions:

2. Find the simplified SOP forms of these functions:


ELET1210 Homepage