EL10C Summer School

Thanks for choosing EL10C

TUTORIAL 2 is... HERE

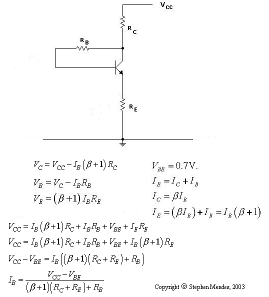
There was an error in the equations relating to the Collector Feedback Bias circuit..... correct your notes by looking.... HERE

HELP for your TUTORIAL..... since you are only calculating DC voltages and currents you may IGNORE the capacitors in Question 3 and Question 4

I have RE-DRAWN the circuits for you below

Question 3 (as you need to see it)....... HERE
Question 4 (as you need to see it)....... HERE

Your first tutorial is .... HERE

Contact Stephen Mendes directly at 230-4818 or 266-8027