Equations of Motion

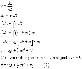
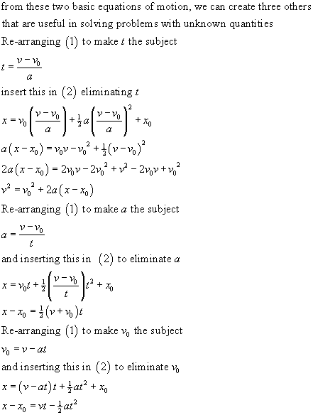
On this page I develop the equations of motion from first principles.

© copyright 2010 Stephen E. Mendes, Barbados.


P10C Homepage