P10C - Mechanics

SOLVED PROBLEMS

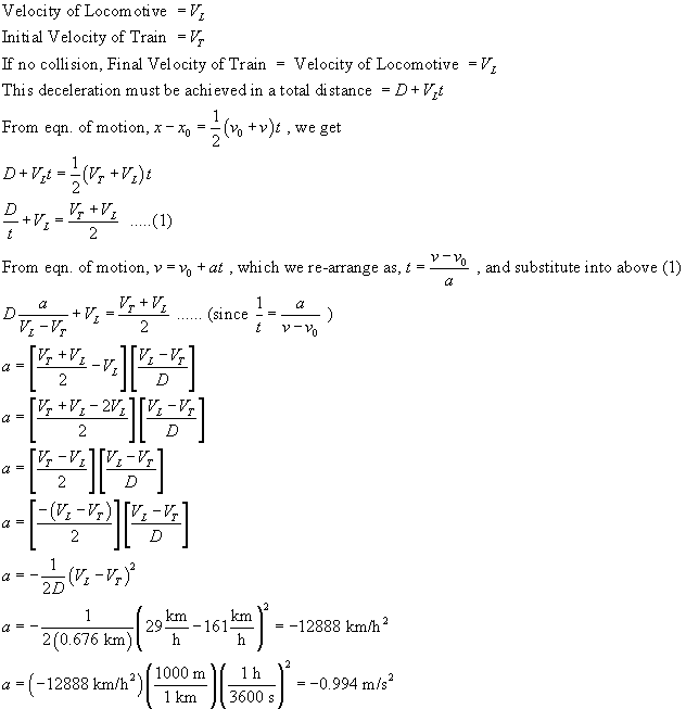
problem 37

problem 49

Contact Stephen Mendes by any of the following:
Cellphones:
230-4818
266-8027
Blackberry Messenger:
21B7D748
on Facebook... HERE


P10C Homepage

© copyright 2011 Stephen E. Mendes, Barbados.