P10C - Mechanics

LECTURE NOTES

Equations of Motion
Vectors
Equations for Uniform Circular Motion
Motion in two and three dimensions
Forces as the cause of Motion
Angles on the inclined plane
Energy, Work and the Work-Energy Theorem[NEW]
Multiple forces at work on a body and Working with springs[NEW]
Potential enery and conservation of energy[NEW]
Impulse force changes motion in collisions
Equations derived for elastic collisions
Rocket equations derived
Force of Gravity and the gravitational field strength[NEW]
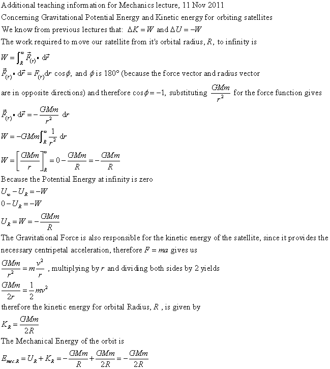
(simple circular) Orbital Energy calculations[NEW]
Smooth Rolling[NEW]
Force, Torque and Angular Momentum[NEW]
Use of Vector CROSS PRODUCT in Torque and Angular Momentum calculations[NEW]

See this caution against dividing by unknown variables

Contact Stephen Mendes by any of the following:
Cellphones:
230-4818
266-8027
Blackberry Messenger:
21B7D748
on Facebook... HERE


P10C Homepage

© copyright 2010 Stephen E. Mendes, Barbados.